Sign In
5️⃣

Lecture 05

Eigenvalue Problem

응용문제 : Discrete Dynamical System : 벡터들의 수열의 점화식. 포지션들이 어떻게 위치가 바뀌는지.
이걸 time을 연속으로 주면 Continuous Dynamical System 은 미분 방정식 내용. 기말고사 범위.
A = reflection matrix about the x-axis in R^2
어떤 A 에 대해서 Ax의 결과와 x가 평행한, 즉 같은 subspace에 사는 x들이 있음. ⇒ EigenVector

Eigenspace

{x|Ax= 람다 x}
= Null space of A-\lambda I
eigen vector를 구하라 = eigenspace의 basis vector를 구하는 것.
순서 : 람다 구하기 → 스페이스구하기 → 기저 구하기

ex1

ex2

보통 주어진 2x2 행렬의 고윳값, 고유공간 구하는 공식을 외워서 매트릭스를 구한다음에 집어넣어서 구하지만
기하학적 성질을 사용하면 좋음
eigenvector는 basis vector 이고, dimension은 각각 1이기에 (x축, y축)하나씩 적어주면 된다.

ex3

A = \begin{bmatrix} 1 & 0 \\ 0 & 0 \end{bmatrix} 일때 eigenvalue와 고유공간을 구하시오. (기하적 접근)
→ x축은 x축으로, y축이 원점으로. → x축으로 Orthogonal Projection
x축 위에 있는 원소(span{[1 0]T})들은 Ax=x일 테니 고윳값 1을 가짐.
y축 위에 있는 원소(span{[0 1]T})들은 Ax=0일 테니 고윳값 0을 가짐.

ex4

A가 Identity Matrix일 때, 고윳값/공간
모든 x가 Ax=x임. → 고윳값 : 1 / Eigenspace = R^2 전체

Algebraic Multiplicity / Geometric Multiplicity

정의

대수적 중복도는 고윳값 λ가 특성 방정식(det(A−λI)=0)의 근(root)으로 몇 번 반복되어 나타나는지를 나타내는 횟수입니다.
기하적 중복도는 특정 고윳값 λ에 대응하는 고유 공간(E_λ)의 차원(Dimension)을 의미합니다. 고유 공간은 고윳값 λ에 해당하는 모든 고유 벡터(eigenvector)들로 이루어진 공간입니다.

관계

📋
1≤GM≤AM
**GM<AM**인 고윳값이 존재하면, 선형 독립인 고유 벡터가 부족하여 행렬을 대각화할 수 없습니다. 이런 고윳값을 **결함 고윳값(Defective Eigenvalue)**이라고 부릅니다.
**GM=AM**이면, 충분한 선형 독립인 고유 벡터를 찾을 수 있어 행렬을 대각화할 수 있습니다.
부족하면 왜 안됨?
우리는 3차원 공간을 대각화하기 위해 3개의 독립적인 좌표축(v1,v2,v3)이 필요합니다. 하지만 λ=2에 해당하는 벡터가 v1 하나뿐이므로,나머지 2개의 방향이 부족합니다. 나머지 2개의 방향은 행렬 변환 과정에서 고유 벡터가 아닌 다른 방향으로 꼬이거나(Shear) 뭉개져버려서, 독립적인 '주요 방향' 역할을 하지 못하게 됩니다.

Transformation에 대응되는 eigenvalue/space/vector 찾기

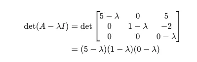
upper triangle matrix의 특징

determinent가 diagonal entry의 곱이다.
그래서 eig value 구하기도 쉬움. 그냥 diagonal entry들이 eigenvalue임.
그러고 나서는 물론 계산해서 eig space 구해야하긴함.

Transpose 의 eig val, eig space

A의 Eig val이 -4,1일때,
A^T는? transpose 해도 det 값은 바뀌지 않기에 eig value는 동일함.
다만, space는 달라짐.

Eig space 특성방정식 없이 구하기

nullspace 의 dim이 0보다 크면 eig space이다.
Column space가 아주 특수한 경우( A² = λA . 선형변환 A가 방향은 그대로 유지한 채 크기만 변해야 한다. ex. rank-1 행렬, projection-mat, scaled-projection-mat)이기에, Column space도 Eigenspace이다.
그렇다면 그 eig space의 eig value는 어떻게 구하는가?
행렬 A를 벡터 v로 표현하고, A=5[v v v] = 5 v[1 1 1] = 5vv^T, Av= 5vv^Tv = 15v
upper tirangle mat 은 대각 성분의 곱이 determinant 임.
그래서 특성방정식의 해가 각 대각 성분으로 나옴.