
EDA 진행한다고 할때, 어떤 분석들을 진행하고 시각화할 수 있을까?논문 보고 형식으로 기술통계표 만들어줘.
Variable | Mean | SD | Min | Max | Skewness | Kurtosis |
TV | 517.43 | 288.11 | 1.04 | 998.10 | 0.01 | -1.19 |
Billboards | 502.64 | 275.84 | 3.63 | 995.32 | -0.06 | -1.16 |
Google Ads | 512.44 | 285.42 | 14.86 | 999.23 | -0.06 | -1.20 |
Social Media | 489.80 | 273.88 | 11.69 | 996.16 | 0.04 | -1.07 |
Influencer Marketing | 465.73 | 288.31 | 0.77 | 999.83 | 0.11 | -1.18 |
Affiliate Marketing | 484.43 | 277.96 | 6.74 | 987.58 | 0.10 | -1.14 |
Product Sold | 7031.52 | 1703.61 | 2259.00 | 12227.00 | -0.05 | -0.08 |
Advertising_Data.xlsx 파일을 불러와서 모든 수치형 변수에 대해
각 변수별 분포(히스토그램 + KDE)를 3행 레이아웃으로 배치하여 하나의 이미지에 통합해서 그려줘.
조건:
1. 각 subplot 제목은 “Distribution of 변수명”
2. 히스토그램은 파란 반투명색(alpha=0.5)
3. KDE(lineplot)는 진한 파란색
4. x축은 변수명, y축은 Count로 표기
5. figure 전체 크기는 (18, 12)
6. seaborn 스타일은 whitegrid
7. 모든 그래프의 눈금, 축 스타일은 깔끔하고 논문 스타일로 유지 
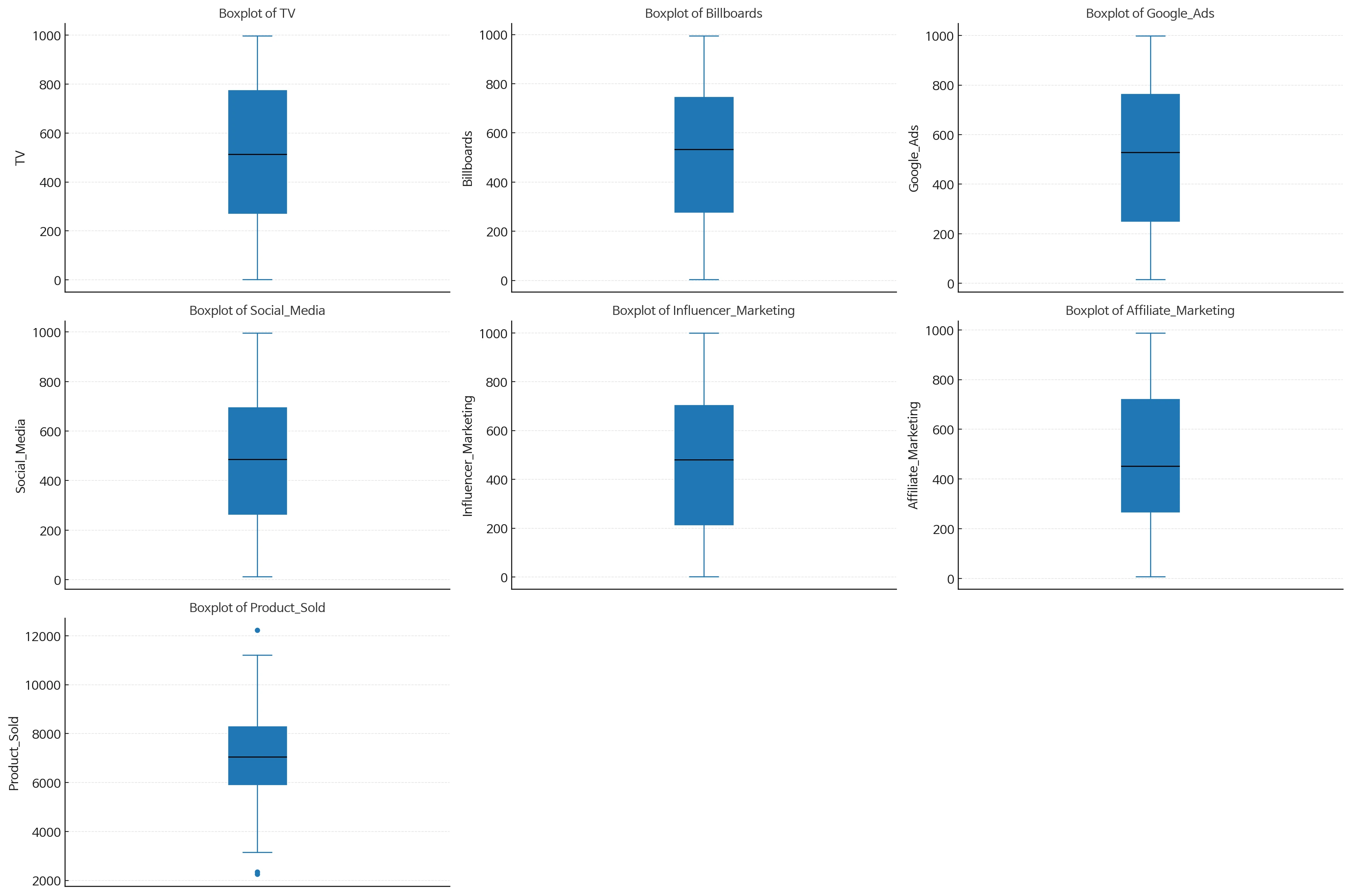
각 변수별 Boxplot을 3행 레이아웃으로 배치하여 하나의 이미지로 그려줘.
조건:
1) 각 subplot 제목은 “Boxplot of 변수명”
2) boxplot 색상은 파란색
3) x축은 숨기고 y축은 변수명 표시
4) figure 크기는 (18, 12)
5) seaborn whitegrid 스타일 적용
6) 미사용 subplot은 비워두기