피처별로 이상치 분포를 박스 플롯으로 시각화해 줘. 
'Age' 피처에 대해서는 IQR 기법으로 이상치를 제거해줘.
이상치 처리 전후를 히스토그램과 박스플롯으로 비교해줘.
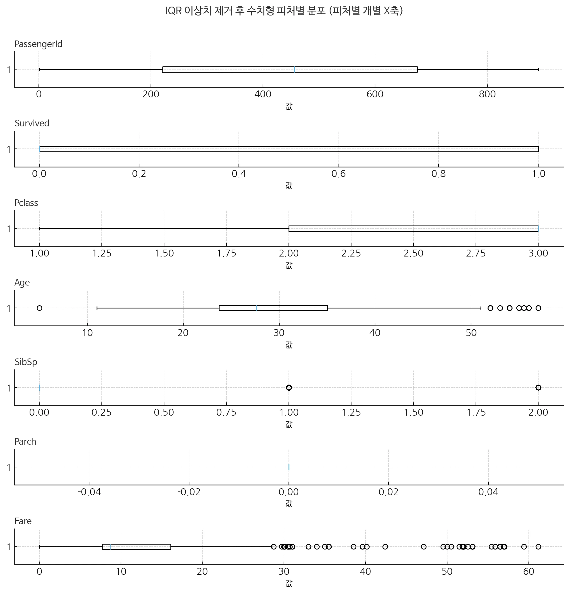
모든 피처의 이상치에 대해서 IQR 기법으로 제거해줘.
가로형 박스 플롯으로 시각화해주고, 피처마다 제목과 x축 라벨을 포함해줘.
이상치 제거된 파일 다운로드 할 거고, 영어 파일 이름으로 부탁해.프로젝트 파일에 업로드한 라이브러리를 설치하고 Matplotlib 한글 사용 환경을 설정한 다음 NanumBarunGothic.ttf 파일로 한글을 표현해 줘
모든 피처의 이상치에 대해서 IQR 기법으로 제거하고, 결과를 피처별 박스 플롯으로 시각화해줘.
파일은 다운로드 할 거고, 영어 파일 이름으로 부탁해.